Berichten
Platenlabel
Recent online: 31
Manager:
Inactief (klik voor info)
Maak gratis account | Log in
Je bent niet ingelogd
Hier komen de laatste 3 forum topics
te staan waarop je hebt gereageerd.
0
|
0
|
0
|
0
0%
+ Plaats shout
Anoniem
Haha Cool.dus.niet mijn hoofd las jouw tijd en datum als telefoonnummer
Cool.Dus.Niet
Zoek verschillen nog paar uurtjes! 06-03 23:59!
NeonLights
Each Pokémon to understand the power thats inside
Anoniem
I will travel across the land Searching far and wide...
NeonLights
To catch them is my real test to train them is my cause
Anoniem
I wanna be the very best, like no one ever was... ♫
Cool.Dus.Niet
Sheepypie mijn vriend gelooft ook in eenhoorns
Sheepypie
ik geloof in eenhoorns
Anoniem
is het al weekend?
Anoniem
Mijn nieuwe boekenkast is KLAAR! Guess what? Need more books for it. :- P
Om mee te kunnen praten op het forum dien je ingelogd te zijn.Nog geen account?
Klik hier
om een gratis account aan te maken.
> Sluiten
Forum
Startalk
Blogstatistieken
Vriendenbeheer
Vriendenbeheer
Facebookvrienden uitnodigen
Topics
Berichten
Professional Artist brons
Totaal aantal maanden manager gehad
Star Magnet VIP
Aantal spelers die een account aanmaakten na het klikken op jouw promotielink en die het level YouTube-ster hebben behaald!
Fashion Star brons
Aantal opeenvolgende dagen nieuwe look
The Socializer goud
Posts op andermans forum/blog/gastenboek
Marathon Master brons
Aantal opeenvolgende dagen online geweest
World Dominator zilver
Aantal voltooide tours
12
van de
24
sterren behaald
Forum
Algemeen
<
Algemeen
Heeft iemand wiskunde opdrachten
Anoniem
Wereldberoemd
Melodrama schreef:
Vv me!
Elysia
Landelijke ster
Elysia schreef:
wiskunde maken... voor fun???
omg
Anoniem
Wereldberoemd
Saturn schreef:
ik wilde jou taggen maar toen realiseerde ik mij dat jij jij bent
Anoniem
Popster
SalviaDivinorum schreef:
pure porno dit
Anoniem
Wereldberoemd
Melodrama schreef:
SalviaDivinorum schreef:
pure porno dit
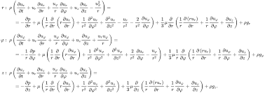
Ben nu bij multivariate hogerdimensionale afgeleiden aan t kijken maar die uitleg is echt niet goed I hate it
Anoniem
Popster
SalviaDivinorum schreef:
Punisher schreef:
SalviaDivinorum schreef:
pure porno dit
Ben nu bij multivariate hogerdimensionale afgeleiden aan t kijken maar die uitleg is echt niet goed I hate it
Als je specifieke vraagt niet snapt mag je altijd wel mailen kan ik kijken of ik je maybe kan helpen
Tim
Wereldberoemd
Tim schreef:
Wilde eigenlijk Bram taggen, maar toen was mijn brein na 10sec van 'ohja dit is Bram zijn nieuwe naam'
Plaats een reactie
Reageer
Deel dit topic op:
Om nieuwe berichten te laden:
ingeschakeld